Overleaf 模板库LaTeX 模板 — Recent
适用于期刊文章、学术论文、简历、演示文稿等的 LaTeX 模板。

Template for 2025 Winter Simulation Conference (WSC2025)

Template for Nonlinear Analysis: Modelling and Control. https://www.journals.vu.lt/nonlinear-analysis

English template for journal Lietuvos matematikos rinkinys, series A. https://www.zurnalai.vu.lt/LMR

Lithuanian template for journal Lietuvos matematikos rinkinys, series B. https://www.zurnalai.vu.lt/LMR

PSI proposal template for combined Bernina/ ADDAMS applications.

This is a template for research articles in journal "Modern Stochastics: Theory and Applications". This template was obtained from: https://www.vmsta.org/journal/VMSTA

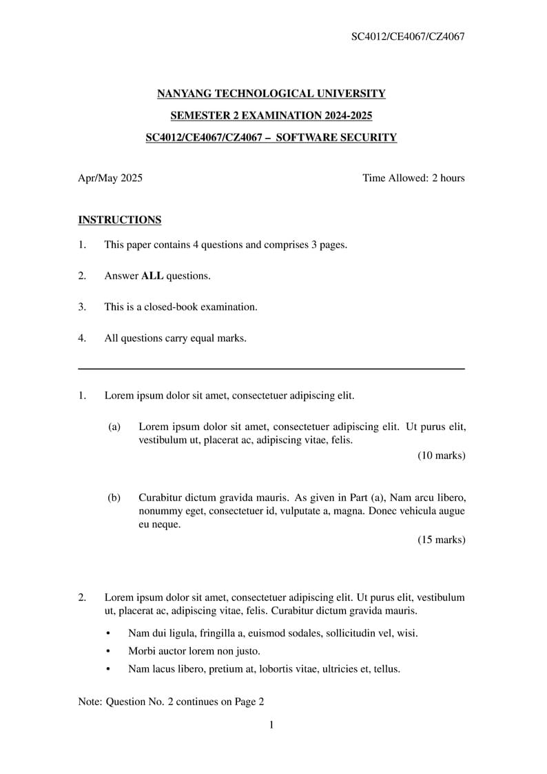
This project provides a LaTeX template for typesetting exam papers, which conform with the formatting guideline of the Nanyang Technological University (NTU). GitHub Repo: https://github.com/liyistc/ntu-exam

This template contains instructions and formatting for authors wishing to submit a manuscript to the McGill Science Undergraduate Research Journal (MSURJ) in LaTeX. Authors can write in the template by clicking on the Open as Template button, above. Please visit https://msurjonline.mcgill.ca/about/submissions for more information on submitting to MSURJ.

English template for Lithuanian Journal of Statistics. https://www.journals.vu.lt/statisticsjournal