Overleaf 模板库LaTeX 模板 — Recent
适用于期刊文章、学术论文、简历、演示文稿等的 LaTeX 模板。

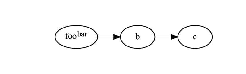
An example of the graphviz package, which uses dot in the background to draw graphs. Add \usepackage[pdf]{graphicx} to get HTML-like labels working.

Template for IUCr conference abstracts. For more information, please see IUCR's instructions.

A template for a CV for a undergraduate student or graduate student. Fields for publications, presentations, education and job experience.

This template was downloaded from here (so it's rather old), but you probably don't really need a LaTeX template — APS provides a form-based submission interface that would eventually generate the PDF via LaTeX anyway. This template is here for you to preview you abstract — it may not exactly resemble the final output as generated by APS' submission page.

Template with project details on top of every page with normal document margins (i.e. 1 inch).

This can be used to start any portfolio problem for MTH 210.

Template for C240 Models of Computation Assessed Coursework 2 Contains macros for typesetting register machines in textual, graphical and encoded formats. Department of Computing, Imperial College London This work is released into the Public Domain.

A template for problem sets, set up to enter blocks of equations, images and arrays.

This template provides a structure for preparing NSF grant applications according to their formatting guidelines It is provided by MIT-MATH to help you use LaTeX for writing your NSF proposals. Please start by reading MIT-MATH's instructions in the Guide to Using the NSFmaster Template, and then click the button above to open the template for editing online with Overleaf.