
Graphviz drawing example
作者:
Overleaf
最近上传:
5 年前
许可:
Creative Commons CC BY 4.0
摘要:
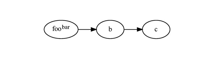
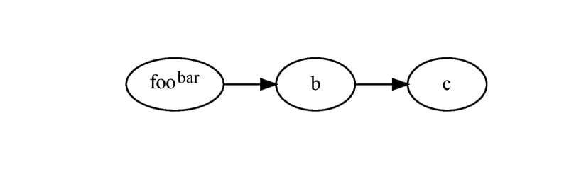
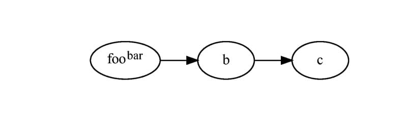
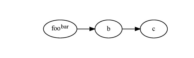
An example of the graphviz package, which uses dot in the background to draw graphs.
Add \usepackage[pdf]{graphicx} to get HTML-like labels working.

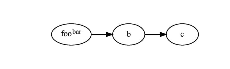
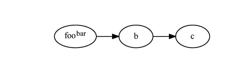
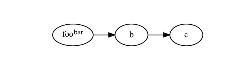
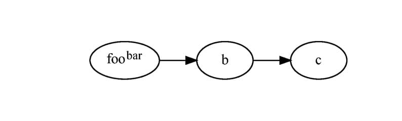
An example of the graphviz package, which uses dot in the background to draw graphs.
Add \usepackage[pdf]{graphicx} to get HTML-like labels working.
